Online calculator for calculating the transverse force of a circular cross-section which is equipped with strain gauges -45° +45° (in the neutral axis).
![]()
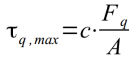
The maximum shear stress τq in the neutral fibre results from the shear force Fq and the cross-sectional area A, as well as a correction factor c for the geometry of the cross-sectional area:
